登录
注册
欢迎来到问答库
问答库官网
搜索答案
网站首页
建筑工程
IT认证
资格考试
会计考试
医药考试
外语考试
外贸考试
学历考试
当前位置:资格考试>
中学教师资格证
>
高中学科知识与教学能力
问题:
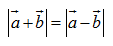
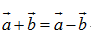
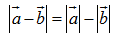
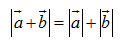
[单选] 下列级数中,收敛的是( )
。
。
。
。
参考答案
问题:
[单选]
。
。
。
。
参考答案
问题:
[单选]
。
。
。
。
参考答案
问题:
[单选]
0。1。2。3。
参考答案
问题:
[单选] 下列矩阵中正定矩阵是( )
。
。
。
。
参考答案
问题:
[单选] 《普通高中数学课程标准实验标准(实验)》的课程目标提出五种基本能力是指( )
计算能力 推理论证 证明能力 运算求解 数据处理。计算能力 空间想象 逻辑推理 抽象概括 数据处理。推理论证 数据处理 空间想象 归纳推理 抽象概括。数据处理 空间想象 抽象概括 归纳推理 概率能力。
参考答案
问题:
[单选] 对现代几何理论的形成和发展起启蒙作用的《几何原本》是哪位数学家所著( )
笛卡尔。费马。欧几里得。欧拉。
参考答案
问题:
[问答题,材料题,分析]
参考答案
问题:
[问答题,材料题,分析]
参考答案
问题:
[问答题,材料题,分析] 甲、乙、丙三人进行羽毛球练习赛,其中两人比赛,另一人当裁判,每局比赛结束时,负的一方在下一局当裁判,设各局中双方获胜的概率均为 各局比赛的结果都相互独立,第局甲当裁判。 (I)求第局甲当裁判的概率; (II)求前局中乙恰好当次裁判概率。
参考答案
首页
上一页
...
39
40
41
42
43
...
下一页
尾页
共
48
页
478
条数据
相关内容
●
第四节质量认证题库
●
第一节质量检验的基本知识题库
●
第二节质量检验的分类题库
●
第一节基本概念题库
●
第二节计量单位题库
●
第五节测量结果题库
●
第一节概率的基础知识题库
●
第一节抽样检验的基本概念题库
相关标签
公务员
考试
尔雅
论文
作业
考研资料