问题:
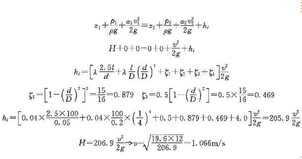
自水池中引出一根具有三段不同直径的水平水管,如图6-9所示。已知直径d=50mm,D=200mm,长度l=100m,水位H=12m,沿程阻力系数λ=0.04,局部阻力系数ζ阀=4.0,此时通过水管的流量为()。

A . 3.07L/s
B . 1.54L/s
C . 2.39L/s
D . 2.09L/
自水池中引出一根具有三段不同直径的水平水管,如图6-9所示。已知直径d=50mm,D=200mm,长度l=100m,水位H=12m,沿程阻力系数λ=0.04,局部阻力系数ζ阀=4.0,此时通过水管的流量为()。

● 参考解析
以水平水管的轴线所在水平面为基准面,取计算断面1-1、2-2列伯努利方程

水管中的流量

则该题的正确答案为(D)。